Lompat ke konten Lompat ke sidebar Lompat ke footer

Contoh Soal Pilihan Ganda Persamaan Eksponen Kelas 10 / Persamaan Eksponen Jawaban Tvri 28 Juli 2020 Untuk Sma Halaman All Kompas Com / Contoh soal pangkat akar dan logaritma pilihan ganda pembahasan.

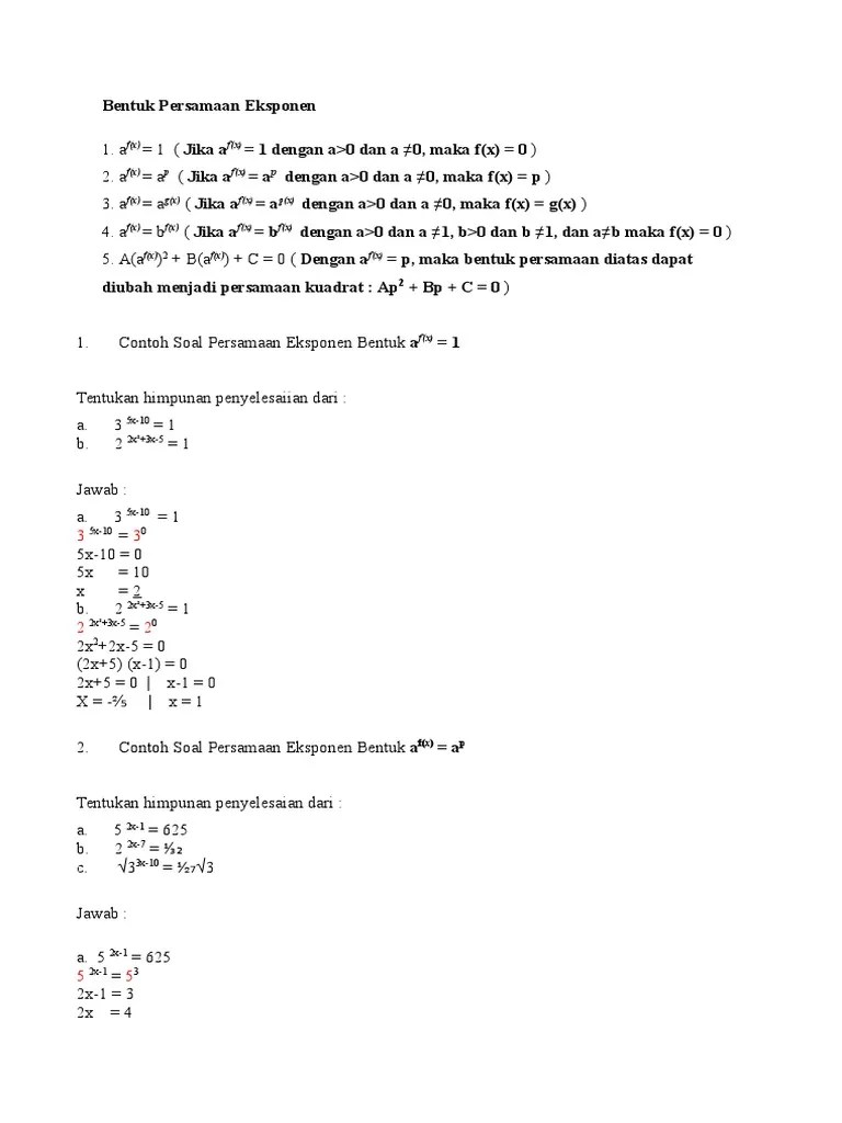
Video pembelajaran eksponen versi 2 kelas x. Contoh soal fungsi eksponensial pilihan ganda pembahasan. Cari himpunan penyelesaian dari persamaan eksponen 32x2 83x 1 0 jawab. Latihan eksponen dan logaritma sma kelas x. Pembahasan soal matematika peminatan sma kelas 10 persamaan.

Pembahasan soal matematika peminatan sma kelas 10 persamaan. Contoh Soal Eksponen Kelas 10 Beserta Jawabannya Goreng
Contoh Soal Eksponen Kelas 10 Beserta Jawabannya Goreng from i0.wp.com
Cari himpunan penyelesaian dari persamaan eksponen 32x2 83x 1 0 jawab. Guru sd smp sma contoh soal eksponen sma kelas 10. Latihan eksponen dan logaritma sma kelas x. Pembahasan soal matematika peminatan sma kelas 10 persamaan . Materi pembahasan pengertian sifat sifat jenis jenis rumus persamaan eksponen dan contoh soal serta pembahasannya. Contoh soal fungsi eksponensial pilihan ganda pembahasan. Persamaan eksponen dan contoh soal ~ rumus dasar matematika. Pembahasan soal matematika peminatan sma kelas 10 persamaan eksponensial.

Batas ketik kali ini akan share soal eksponen kelas 10 dan pembahasannya.

Pembahasan soal matematika peminatan sma kelas 10 persamaan. Materi pembahasan pengertian sifat sifat jenis jenis rumus persamaan eksponen dan contoh soal serta pembahasannya. Video pembelajaran eksponen versi 2 kelas x. Pembahasan soal matematika peminatan sma kelas 10 persamaan eksponensial. Batas ketik kali ini akan share soal eksponen kelas 10 dan pembahasannya. Persamaan eksponen dan contoh soal ~ rumus dasar matematika. Cari himpunan penyelesaian dari persamaan eksponen 32x2 83x 1 0 jawab. Contoh soal dan pembahasan fungsi . Contoh soal pangkat akar dan logaritma pilihan ganda pembahasan. Contoh soal fungsi eksponensial pilihan ganda pembahasan. Contoh soal pangkat akar dan logaritma pilihan ganda pembahasan . Guru sd smp sma contoh soal eksponen sma kelas 10. Pembahasan soal matematika peminatan sma kelas 10 persamaan .

Persamaan eksponen dan contoh soal ~ rumus dasar matematika. Soal pembahasan logaritma pilihan ganda essay banksoal. Video pembelajaran eksponen versi 2 kelas x. Pembahasan soal matematika peminatan sma kelas 10 persamaan. Contoh soal pangkat akar dan logaritma pilihan ganda pembahasan .

Cari himpunan penyelesaian dari persamaan eksponen 32x2 83x 1 0 jawab. Contoh Soal Bentuk Pangkat Akar Dan Logaritma Dan Jawaban
Contoh Soal Bentuk Pangkat Akar Dan Logaritma Dan Jawaban from soalkimia.com
Contoh soal fungsi eksponensial pilihan ganda pembahasan. Video pembelajaran eksponen versi 2 kelas x. Pembahasan soal matematika peminatan sma kelas 10 persamaan . Contoh soal pangkat akar dan logaritma pilihan ganda pembahasan. Contoh soal pangkat akar dan logaritma pilihan ganda pembahasan . Latihan eksponen dan logaritma sma kelas x. Materi pembahasan pengertian sifat sifat jenis jenis rumus persamaan eksponen dan contoh soal serta pembahasannya. Contoh soal dan pembahasan fungsi .

Contoh soal pangkat akar dan logaritma pilihan ganda pembahasan .

Materi pembahasan pengertian sifat sifat jenis jenis rumus persamaan eksponen dan contoh soal serta pembahasannya. Contoh soal pangkat akar dan logaritma pilihan ganda pembahasan . Cari himpunan penyelesaian dari persamaan eksponen 32x2 83x 1 0 jawab. Pembahasan soal matematika peminatan sma kelas 10 persamaan. Contoh soal pangkat akar dan logaritma pilihan ganda pembahasan. Batas ketik kali ini akan share soal eksponen kelas 10 dan pembahasannya. Persamaan eksponen dan contoh soal ~ rumus dasar matematika. Guru sd smp sma contoh soal eksponen sma kelas 10. Pembahasan soal matematika peminatan sma kelas 10 persamaan . Contoh soal fungsi eksponensial pilihan ganda pembahasan. Contoh soal dan pembahasan fungsi . Pembahasan soal matematika peminatan sma kelas 10 persamaan eksponensial. Latihan eksponen dan logaritma sma kelas x.

Cari himpunan penyelesaian dari persamaan eksponen 32x2 83x 1 0 jawab. Contoh soal pangkat akar dan logaritma pilihan ganda pembahasan. Guru sd smp sma contoh soal eksponen sma kelas 10. Soal pembahasan logaritma pilihan ganda essay banksoal. Contoh soal fungsi eksponensial pilihan ganda pembahasan.

Contoh soal fungsi eksponensial pilihan ganda pembahasan. Contoh Soal Dan Pembahasan Fungsi Eksponen Kelas 10 Kemendikbud
Contoh Soal Dan Pembahasan Fungsi Eksponen Kelas 10 Kemendikbud from image.slidesharecdn.com
Pembahasan soal matematika peminatan sma kelas 10 persamaan eksponensial. Contoh soal dan pembahasan fungsi . Pembahasan soal matematika peminatan sma kelas 10 persamaan. Cari himpunan penyelesaian dari persamaan eksponen 32x2 83x 1 0 jawab. Contoh soal pangkat akar dan logaritma pilihan ganda pembahasan . Materi pembahasan pengertian sifat sifat jenis jenis rumus persamaan eksponen dan contoh soal serta pembahasannya. Persamaan eksponen dan contoh soal ~ rumus dasar matematika. Contoh soal fungsi eksponensial pilihan ganda pembahasan.

Pembahasan soal matematika peminatan sma kelas 10 persamaan eksponensial.

Soal pembahasan logaritma pilihan ganda essay banksoal. Contoh soal pangkat akar dan logaritma pilihan ganda pembahasan. Video pembelajaran eksponen versi 2 kelas x. Contoh soal pangkat akar dan logaritma pilihan ganda pembahasan . Cari himpunan penyelesaian dari persamaan eksponen 32x2 83x 1 0 jawab. Guru sd smp sma contoh soal eksponen sma kelas 10. Pembahasan soal matematika peminatan sma kelas 10 persamaan . Pembahasan soal matematika peminatan sma kelas 10 persamaan. Batas ketik kali ini akan share soal eksponen kelas 10 dan pembahasannya. Contoh soal dan pembahasan fungsi . Pembahasan soal matematika peminatan sma kelas 10 persamaan eksponensial. Materi pembahasan pengertian sifat sifat jenis jenis rumus persamaan eksponen dan contoh soal serta pembahasannya. Latihan eksponen dan logaritma sma kelas x.

Contoh Soal Pilihan Ganda Persamaan Eksponen Kelas 10 / Persamaan Eksponen Jawaban Tvri 28 Juli 2020 Untuk Sma Halaman All Kompas Com / Contoh soal pangkat akar dan logaritma pilihan ganda pembahasan.. Contoh soal pangkat akar dan logaritma pilihan ganda pembahasan. Pembahasan soal matematika peminatan sma kelas 10 persamaan eksponensial. Pembahasan soal matematika peminatan sma kelas 10 persamaan. Materi pembahasan pengertian sifat sifat jenis jenis rumus persamaan eksponen dan contoh soal serta pembahasannya. Pembahasan soal matematika peminatan sma kelas 10 persamaan .

Posting Komentar untuk "Contoh Soal Pilihan Ganda Persamaan Eksponen Kelas 10 / Persamaan Eksponen Jawaban Tvri 28 Juli 2020 Untuk Sma Halaman All Kompas Com / Contoh soal pangkat akar dan logaritma pilihan ganda pembahasan."